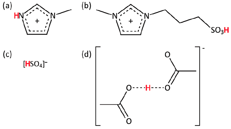
Labile protons in ionic liquids can be introduced through a range of functionalities: acidc labile proton in a cation (a) or anion (c); acidic functional group in a cation (b), or through dissolution of a Brønsted acid, which leads to the formation of anionic clusters (d). In context of catalytic applications, labile protons such as (a) and (c) tend to be relatively weak acids. Functionalised cations (c) give a broad spectrum of attainable acidities, but also are the most expensive. As the result, we tend to focus on protic and aprotic systems with complex anionic clusters.

Ionic liquids with complex anionic clusters are interesting both on the fundamental level, due to their complex and dynamic speciation, and for practical applications: in catalysis and beyond (other groups found uses in drug delivery, for example).
Through our fundamental studies, we have shown that acidity (quantified through Gutmann Acceptor Number, AN) depends on anionic clusters present in the system (which changes as a function of excess acid loading), as well as on the conjugate base (link). With stronger conjugate base, clustering is more pronounced, and acidity lower with respect to the parent acid.
In addition, in collaboration with the Holbrey group, we have used neutron scattering to study liquid structure of such hydrogen-bonded ionic liquid clusters, including pyridine-acetic acid and imidazole-bis(trifluoromethanesulfonic) acid.
Studying catalytic applications in collaboration with the Chrobok group at Silesian University of Technology, we have demonstrated that ionic liquids based on a complex sulfate anion, [(H2SO4)x(HSO4)]–, have catalytic activity on par with that of sulfuric acid, but exhibit different phase behaviour; easy separation from the organic phase makes them a superior choice for reactions such as esterifications and Beckmann rearrangement.