Traditional Lewis acidic ionic liquids are nearly synonymous with halometallate systems, comprising an organic cation and halometallate anions. They have been extensively studied as Lewis acid catalysts and co-catalysts, with the focus on large-scale petrochemical processes. The first process developed to a pilot scale, Difasol (IFP), was nickel-catalysed dimerisation of olefins. The first full-scale operation will be ISOALKY (Chevron), process for clean gasoline production through refinery alkylation.
Despite their potential, halometallate ionic liquids suffer from shortcomings related to relatively high price, induced mainly by the cation, corrosivity, and little tunability of the coordination around the metal centre. Our group developed several altenratives takling these problems.
J. Estager, J. D. Holbrey and M. Swadźba-Kwaśny, Chlorometallate ionic liquids – revisited, Chem. Soc. Rev., 2014, 43, 847.
Liquid coordination complexes (LCCs)
LCCs are, as the name suggests, coordination complexes that remain liquid at ambient temperature. Typically, they contain equilibriated mixture of cationic, anionic and neutral coordination complexes of metal halides and off-the-shelf donors, making a versatile family of low-cost liquid Lewis acids.

In collaboration with PETRONAS, our group succesfully used LCCs as catalysts in carbocationic oligomerisation of 1-decene (biphasic liquid system) to generate lubricant base oils, with the potential to replace the industrial standard: BF3. Furhtemore, we used LCCs as catalysts for Friedel-Crafts alkylation, and – as a component of a SCILL system (solid catalyst with ionic liquid layer) in arene hydrogenation.
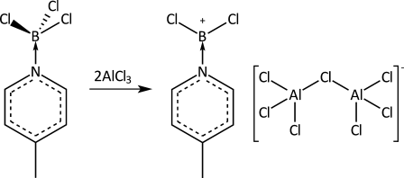
Borenium ionic liquids
Ionic liquids based on triccordinate boron cation, developed by our group, were the first reported family of ionic liquids with strongly Lewis acidic cation. The presence of positive charge around the tricoordinate, Lewis acidic boron centre, combined with a non-coordinating anion and in the absence of a solvent, resulted in extremely high Lewis acidities (Gutmann AN >180).

Triflometallate ionic liquids
The term “triflometallate” was coined by our group to describe the newest development in our portfolio: ionic liquids in which metal chloride is replaced by a metal triflate. Understandably, altering the ligand has profound impact on the anionic speciation and Lewis acidity of these systems.

Metal triflates are notoriously difficult to dissolve, and converting them into ionic liquid is a good strategy to obtain a good contact with reactants, even if it is in biphasic liquid mode. Furthermore, these are entirely chloride-free, which potentially limits corrosion-related issues.
In collaboration with the group of Prof Chrobok from Silesian University of Technology (Poland) we studied these new systems in biphasic homogenous mode, and as a supported ionic liquid phase (SILP), for the synthesis of chromane (via cycloaddition of 2,4-dimethylphenol and isoprene) and alkyl levulinates (via alcoholysis of alpha-angelica lactone).